
Статья размещена в открытом доступе и распространяется на условиях лицензии Creative Commons Attribution (CC BY).
ОРИГИНАЛЬНОЕ ИССЛЕДОВАНИЕ
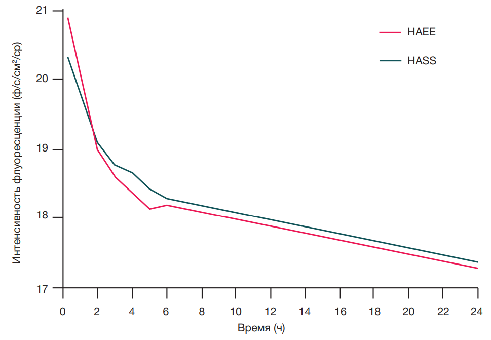
Сравнительная фармакокинетика и биораспределение пептидов HAEE и HASS
Научно-исследовательский институт трансляционной медицины, Российский национальный исследовательский медицинский университет имени Н. И. Пирогова, Москва, Россия
Для корреспонденции: Анна Валерьевна Иванова
ул. Островитянова, д. 1, стр. 1, г. Москва, 117513, Россия; ur.xednay@tirofsof.repus
Финансирование: работы выполнены в рамках Государственного задания «Создание радиофармацевтического лекарственного препарата для диагностики болезни Альцгеймера с использованием тетрапептида HAEE в качестве векторной молекулы», регистрационный номер ЕГИСУ НИОКТР 1024110600012-8-3.2.25;3.2.26;3.2.12.
Вклад авторов: А. В. Иванова — обзор литературы, экспериментальные исследования на мышиной модели BALB/с, проведение транскардиальной перфузии всех органов, подготовка рукописи; П. А. Лазарева — экспериментальные исследования на модели мышей BALB/с, проведение транскардиальной перфузии всех органов, анализ полученных результатов, подготовка рукописи; И. А. Кузьмичев — синтез флуоресцентного пептида HAEEGGGGK-Cy5 и HASSGGGGGK-Cy5; В. В. Вадехина — внутривенное введение пептида HAEEGGGGK-Cy5 и HASSGGGGGK-Cy5 через хвостовую вену, проведение транскардиальной перфузии всех органов; А. В. Косых — фиксация, подготовка гистологических срезов для съемки на микроскопе, съемка и подготовка рукописи; Н. Г. Гурская — получение изображений на флуоресцентном микроскопе и анализ, подготовка рукописи; М. А. Абакумов — постановка цели, разработка дизайна исследования, подготовка рукописи; все авторы внесли равнозначный вклад в подготовку публикации, подтверждают соответствие своего авторства международным критериям ICMJE.
Соблюдение этических стандартов: исследование одобрено этическим комитетом РНИМУ им Н. И. Пирогова Минздрава России (номер протокола 03/2025 от 23 января 2025 г.), проведено в соответствии с принципами надлежащей лабораторной практики (Приказ Министерства здравоохранения Российской Федерации № 708н от 23.08.2010, Директива 2010/63/EU Европейского парламента и Совета о защите животных, используемых в научных целях).



