Copyright: © 2025 by the authors. Licensee: Pirogov University.
This article is an open access article distributed under the terms and conditions of the Creative Commons Attribution license (CC BY).

ORIGINAL RESEARCH

Reconsolidation of early memories in reliving the traumatic combat experience

About authors

1 Pirogov Russian National Research Medical University, Moscow, Russia

2 Moscow State Institute of International Relations of the Ministry of Foreign Affairs of the Russian Federation, Moscow, Russia

3 Kursk State Medical University of the Russian Ministry of Health, Kursk, Russia

Correspondence should be addressed: Ekaterina A. Petrash
Ostrovityanova, 1, Moscow, 117997, Russia; ur.liam@hsartep

About paper

Author contribution: all authors contributed to study planning, literature review, data acquisition, analysis, and interpretation equally.

Compliance with ethical standards: the study was approved by the Ethics Committee of the Pirogov Russian National Research Medical University (protocol No. 13 dated 23 November 2023), and conducted in accordance with the requirements of Fundamentals of legislation “On Protection of Public Health”; all subjects submitted the informed consent to assessment.

Received: 2025-10-25 Accepted: 2025-11-22 Published online: 2025-12-11
|
Fig. 1. Scheme of the conceptual model for studying reconsolidation of early memories in reliving the traumatic experience of participation in combat
Fig. 2. Averaged profiles of the curves of memorizing 10 words by combat veterans
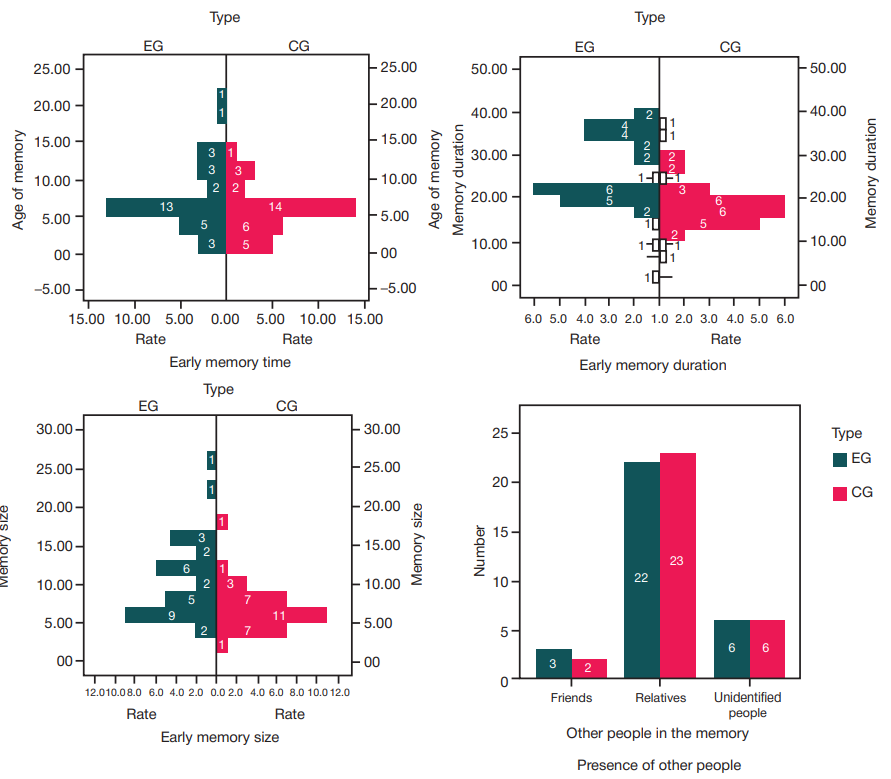
Fig. 3. Histogram of frequency distributions for the "time" and "duration" parameters of early memories in the experimental and control groups
Fig. 4. Histogram of frequency distributions for the early memory modalities in the experimental and control groups
Table 1. Indicators of comparative analysis of the early memory localization type parameter in the experimental and control groups
Table 2. Results of comparative analysis of the early memory macro-charactertistics in the experimental and control groups
Note: * * — significance at the level of 0.01
Table 3. Significance of differences in the linguistic structure parameters of early memories modalities in the experimental and control groups
Note: * * — significance at the level of 0.01.