Copyright: © 2025 by the authors. Licensee: Pirogov University.
This article is an open access article distributed under the terms and conditions of the Creative Commons Attribution license (CC BY).

METHOD

Detection of Salmonella enterica by loop-mediated isothermal amplification of DNA using a fluorescently labeled loop primer

About authors

1 Institute of Chemical Biology and Fundamental Medicine, Siberian Branch of the Russian Academy of Sciences, Novosibirsk, Russia

2 Speransky City Children’s Clinical Hospital No. 9, Moscow, Russia

3 Institute of Translational Medicine and Biotechnology, Sechenov University, Moscow, Russia

Correspondence should be addressed: Mikhail L. Filipenko
Prospekt Lavrenteva, 8, Novosibirsk, Russia; moc.liamg@oknepiliflm

About paper

Funding: This work was supported by the Russian state-funded project for the Institute of Chemical Biology and Fundamental Medicine, Siberian Branch of the Russian Academy of Sciences (Grant No. 125012300671-8).

Author contribution: Shamovskaya DV, Smertina MA, Khrapov EA — LAMP assay optimization and validation on clinical samples; Gordukova MA, Galeeva EV — collection of clinical specimens and patient data; Oskorbin IP — experimental design for LAMP assays; Boyarskikh UA — LAMP primer design; Filipenko ML — conceptualization, writing, and editing of the manuscript.

Compliance with ethical standards: The study was approved by the Ethics Committees of the Institute of Chemical Biology and Fundamental Medicine, SB RAS (Protocol No. 4, May 25, 2022) and the City Clinical Hospital for Children No. 9 named after G. N. Speransky, Moscow Healthcare Department (Protocol No. 44, April 19, 2022). All patients provided written informed consent.

Received: 2025-11-23 Accepted: 2025-12-13 Published online: 2025-12-22
|
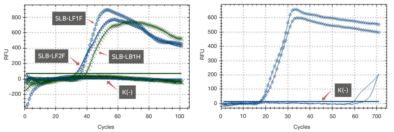
Fig. 1. LAMP fluorescent curves. The left panel depicts various fluorescently-labelled loop primers; the right panel demonstrates results of LAMP with the SYTO-13 intercalating dye
Fig. 2. Influence of a loop probe-primer SLF-LB1H concentration on the fluorescence amplitude
Table 1. Oligonucleotide primers and fluorescent probes
Table 2. Results of testing 95 children’s stool DNA samples for Salmonella Comparison of LAMP-SLF-LB1H vs qPCR
Table 3. Diagnostic performance of LAMP methods compared with qPCR