Авторские права: © 2025 принадлежат авторам. Лицензиат: РНИМУ им. Н.И. Пирогова.
Статья размещена в открытом доступе и распространяется на условиях лицензии Creative Commons Attribution (CC BY).

МЕТОД

Детекция Salmonella enterica петлевой изотермальной амплификацией ДНК с использованием флуоресцентно меченого петлевого праймера

Информация об авторах

1 Институт химической биологии и фундаментальной медицины Сибирского отделения Российской академии наук, Новосибирск, Россия

2 Детская городская клиническая больница № 9 им. Г. Н. Сперанского, Москва, Россия

3 Институт трансляционной медицины и биотехнологий, Сеченовский университет, Москва, Россия

Для корреспонденции: Максим Леонидович Филипенко
ул. Проспект Лаврентьева, д. 8, г. Новосибирск, 630090, Россия; moc.liamg@oknepiliflm

Информация о статье

Финансирование: исследование поддержано в рамках государственного задания ИХБФМ СО РАН № 125012300671-8.

Вклад авторов: Д. В. Шамовская, М. А. Смертина, Е. А. Храпов — оптимизация и валидация LAMP на клинических образцах; М. А. Гордукова, Е. В. Галеева — сбор клинических образцов и данных пациентов; И. П. Оскорбин — планирование экспериментов LAMP; У. А. Боярских — дизайн праймеров LAMP; М. Л. Филипенко — идея исследования, написание и редактирование статьи.

Соблюдение этических стандартов: исследование одобрено этическим комитетом ИХБФМ СО РАН (протокол № 4 от 25 мая 2022 г.), этическим комитетом при ГБУЗ «ДГКБ № 9 им. Г. Н. Сперанского ДЗМ» (протокол № 44 от 19 апреля 2022 г.). Пациенты подписали добровольное информированное согласие.

Статья получена: 23.11.2025 Статья принята к печати: 13.12.2025 Опубликовано online: 22.12.2025
|
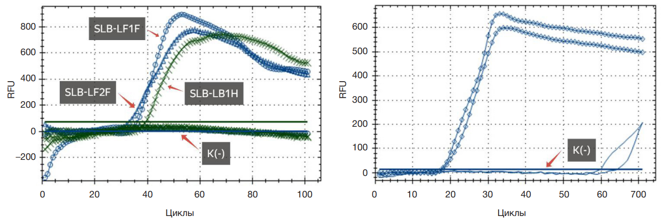
Рис. 1. Кривые накопления продуктов LAMP. Слева: визуализация с помощью флуоресцентных петлевых праймеров-зондов. Справа: визуализация с помощью интеркалирующего красителя SYTO-13
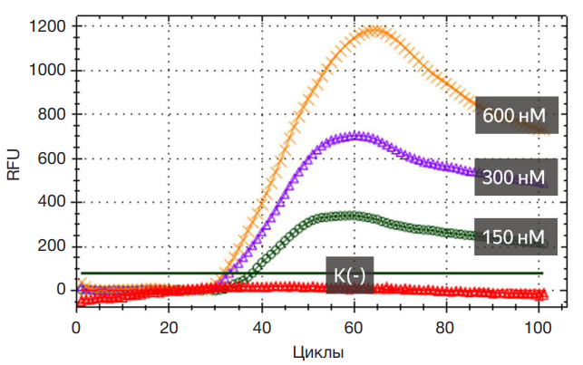
Рис. 2. Влияние концентрации петлевого праймера-зонда SLF-LB1H на амплитуду разгорания флуоресцентного сигнала
Таблица 1. Структуры олигонуклеотидных праймеров и флуоресцентно меченых зондов
Таблица 2. Результаты анализа 95 образцов ДНК из кала детей на наличие Salmonella
Таблица 3. Диагностические показатели LAMP-методов в сравнении с qPCR