Copyright: © 2026 by the authors. Licensee: Pirogov University.
This article is an open access article distributed under the terms and conditions of the Creative Commons Attribution license (CC BY).

ORIGINAL RESEARCH

NGS technology as a tool for the Wilson’s disease diagnosis and severity assessment

Balashova MS1,2 , Zhuchenko NA1 , Tuluzanovskaya IG1 , Glotov OS3,4,5 , Senina OS1 , Ignatova TM6 , Asanov AYu1
About authors

1 Sechenov First Moscow State Medical University (Sechenov University), Moscow, Russia

2 Petrovsky Russian Scientific Center for Surgery, Moscow, Russia

3 Moscow Scientific and Practical Center for Laboratory Research, Moscow, Russia

4 Ott Research Institute of Obstetrcis, Gynecology and Reproductive Medicine, St. Petersburg, Russia

5 Federal Scientific and Clinical Center for Infectious Diseases of the Federal Medical Biological Agency, St. Petersburg, Russia

6 State Scientific Center of the Russian Federation — Federal Medical Biophysical Center named after A. I. Burnazyan, Moscow, Russia

Correspondence should be addressed: Inna G. Tuluzanovskaya
Yelansky, 2, bld. 2, 119435, Moscow, Russia; ur.liam@77t_anni

About paper

Author contribution: Balashova MS — follow-up of patients, NGS data analysis, manuscript writing; Zhuchenko NA — literature review and analysis, manuscript writing; Tuluzanovskaya IG — follow-up of patients, literature analysis and processing, manuscript writing; Glotov OS — molecular genetic testing data preparation, manuscript editing; Senina OS — data entry, manuscript writing; Ignatova TM — literature analysis, manuscript editing; Asanov AYu — literature analysis, manuscript writing and editing.

Compliance with ethical standards: the study was approved by the Ethics Committee of the Sechenov University (protocol No. 07-23 dated 27 April 2023). All subjects or their legall representatives submitted the informed consent for participation in the study.

Received: 2026-02-24 Accepted: 2026-03-11 Published online: 2026-04-01
|
Fig. Patients’ age of disease onset
Table 1. Dynamic changes in the disease course
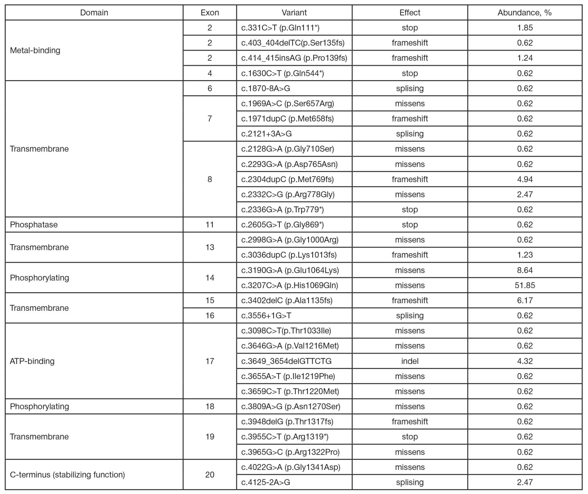
Table 2. ATP7B gene variants identified
Note: adapted from [11].
Table 3. Distribution of patients when divided into groups based on the nucleotide sequence potential effect
Table 4. Informational value depending on the scope of genetic testing