Авторские права: © 2026 принадлежат авторам. Лицензиат: РНИМУ им. Н.И. Пирогова.
Статья размещена в открытом доступе и распространяется на условиях лицензии Creative Commons Attribution (CC BY).

ОРИГИНАЛЬНОЕ ИССЛЕДОВАНИЕ

NGS-технологии как инструмент диагностики и оценки тяжести патологического процесса при болезни Вильсона–Коновалова

М. С. Балашова1,2 , Н. А. Жученко1 , И. Г. Тулузановская1 , О. С. Глотов3,4,5 , О. С. Сенина1 , Т. М. Игнатова6 , А. Ю. Асанов1
Информация об авторах

1 Первый Московский государственный медицинский университет имени И. М. Сеченова (Сеченовский Университет), Москва, Россия

2 Российский научный центр хирургии имени Б. В. Петровского, Москва, Россия

3 Московский научно-практический центр лабораторных исследований, Москва, Россия

4 Научно-исследовательский институт акушерства, гинекологии и репродуктологии имени Д. О. Отта, Санкт-Петербург, Россия

5 Федеральный научно-клинический центр инфекционных болезней Федерального медико-биологического агентства России, Санкт-Петербург, Россия

6 Государственный научный центр Российской Федерации — Федеральный медицинский биофизический центр имени А. И. Бурназяна, Москва, Россия

Для корреспонденции: Инна Геннадьевна Тулузановская
ул. Еланского, д. 2, строение 2, г. Москва, 119435, Россия; ur.liam@77t_anni

Информация о статье

Вклад авторов: М. С. Балашова — курация пациентов, анализ данных NGS, написание статьи; Н. А. Жученко — обзор и анализ литературы, написание статьи; И. Г. Тулузановская — курация пациентов, анализ литературы, обработка и написание статьи; О. С. Глотов — подготовка данных молекулярно-генетического исследования, редактирование статьи; О. С. Сенина — работа с данными, редактирование статьи; Т. М. Игнатова — анализ литературы, редактирование статьи; А. Ю. Асанов — анализ литературы, написание и редактирование статьи.

Соблюдение этических стандартов: исследование одобрено этическим комитетом Сеченовского университета (протокол № 07-23, от 27 апреля 2023 г.). Все участники исследования либо их законные представители подписали добровольное информированное согласие на участие в научном исследовании.

Статья получена: 24.02.2026 Статья принята к печати: 11.03.2026 Опубликовано online: 01.04.2026
|
Рис. Возраст пациентов на момент манифестации заболевания
Таблица 1. Динамика течения заболевания
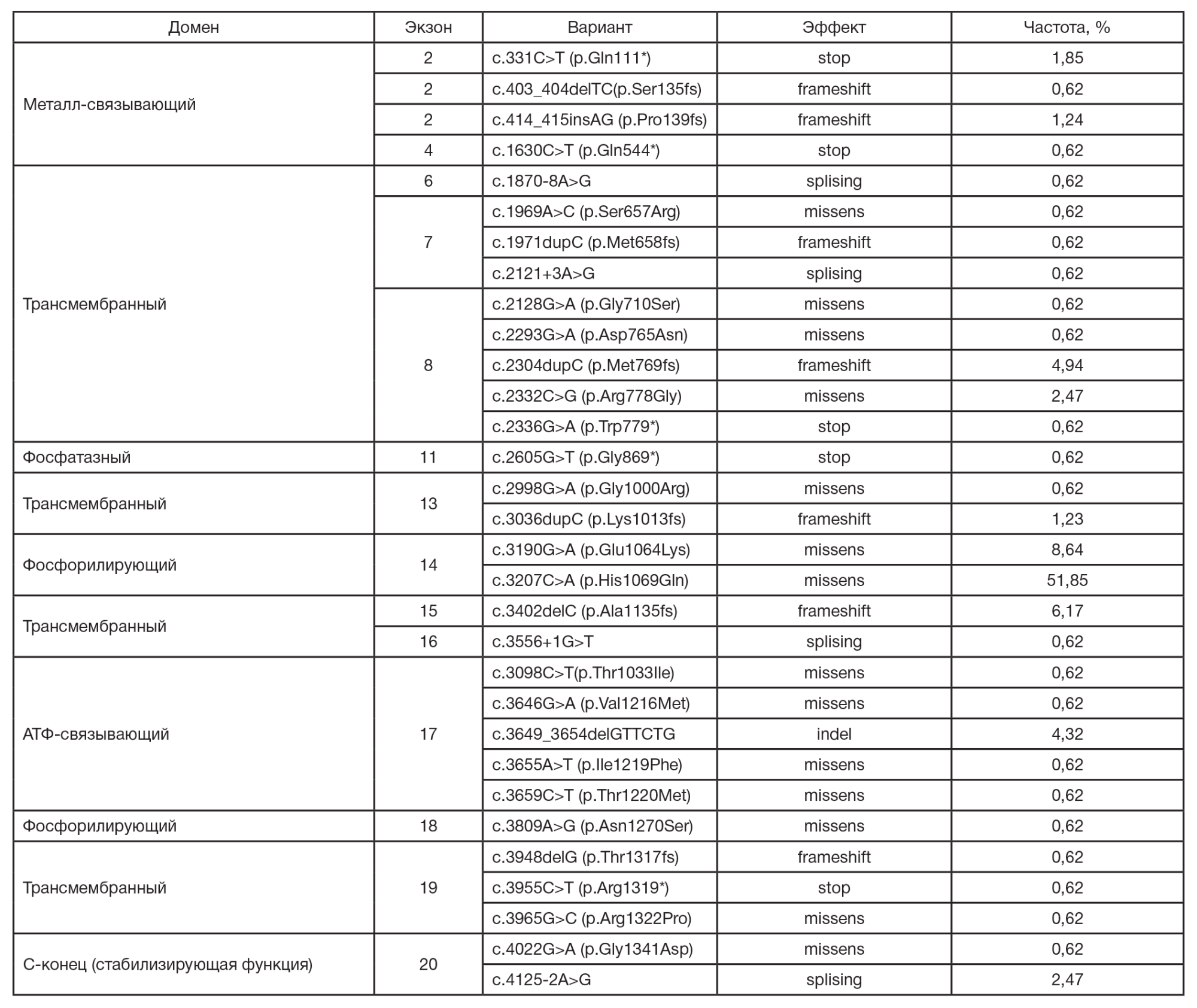
Таблица 2. Выявленные варианты гена ATP7B
Примечание: адаптировано из [11].
Таблица 3. Распределение пациентов при группировке по потенциальному эффекту нуклеотидных последовательностей
Таблица 4. Информативность в зависимости от объема генетического исследования