Авторские права: © 2026 принадлежат авторам. Лицензиат: РНИМУ им. Н.И. Пирогова.
Статья размещена в открытом доступе и распространяется на условиях лицензии Creative Commons Attribution (CC BY).

ОРИГИНАЛЬНОЕ ИССЛЕДОВАНИЕ

Сравнительные протеомные и генетические методы анализа при невынашивании беременности

П. А. Клименко1 , А. В. Лисица2 , Н. А. Петушкова2 , Н. Н. Вейко3 , С. В. Костюк3 , Е. С. Ершова3 , М. П. Клименко1 , А. А. Герасимова4 , О. В. Юсеф1 , С. И. Ващенко1 , М. А. Курцер1
Информация об авторах

1 Российский национальный исследовательский медицинский университет имени Н. И. Пирогова, Москва, Россия

2 Научно-исследовательский институт биомедицинской химии имени В. Н. Ореховича, Москва, Россия

3 Институт биологии старения и медицины здорового долголетия с клиникой превентивной медицины ГНЦРФ РНЦХ имени Б. В. Петровского, Москва, Россия

4 Российский университет дружбы народов имени Патриса Лумумбы, Москва, Россия

Для корреспонденции: Петр Афанасьевич Клименко
ул. Новаторов, д. 3, г. Москва, 119421, Россия; ur.umsr@ap_oknemilk

Информация о статье

Финансирование: работа выполнена в рамках Программы фундаментальных научных исследований в Российской Федерации на долгосрочный период (2021–2030 годы) (№ 122030100170-5).

Благодарности: масс-спектрометрические измерения выполняли на оборудовании ЦКП «Протеом человека» Института биомедицинской химии (Россия).

Вклад авторов: равнозначный.

Соблюдение этических стандартов: исследование одобрено этическим комитетом РНИМУ им. Н. И. Пирогова (протокол № 228 от 17 апреля 2023 г.). Все обследованные подписали добровольное информированное согласие на участие в исследовании.

Статья получена: 08.12.2025 Статья принята к печати: 19.01.2026 Опубликовано online: 28.01.2026
|
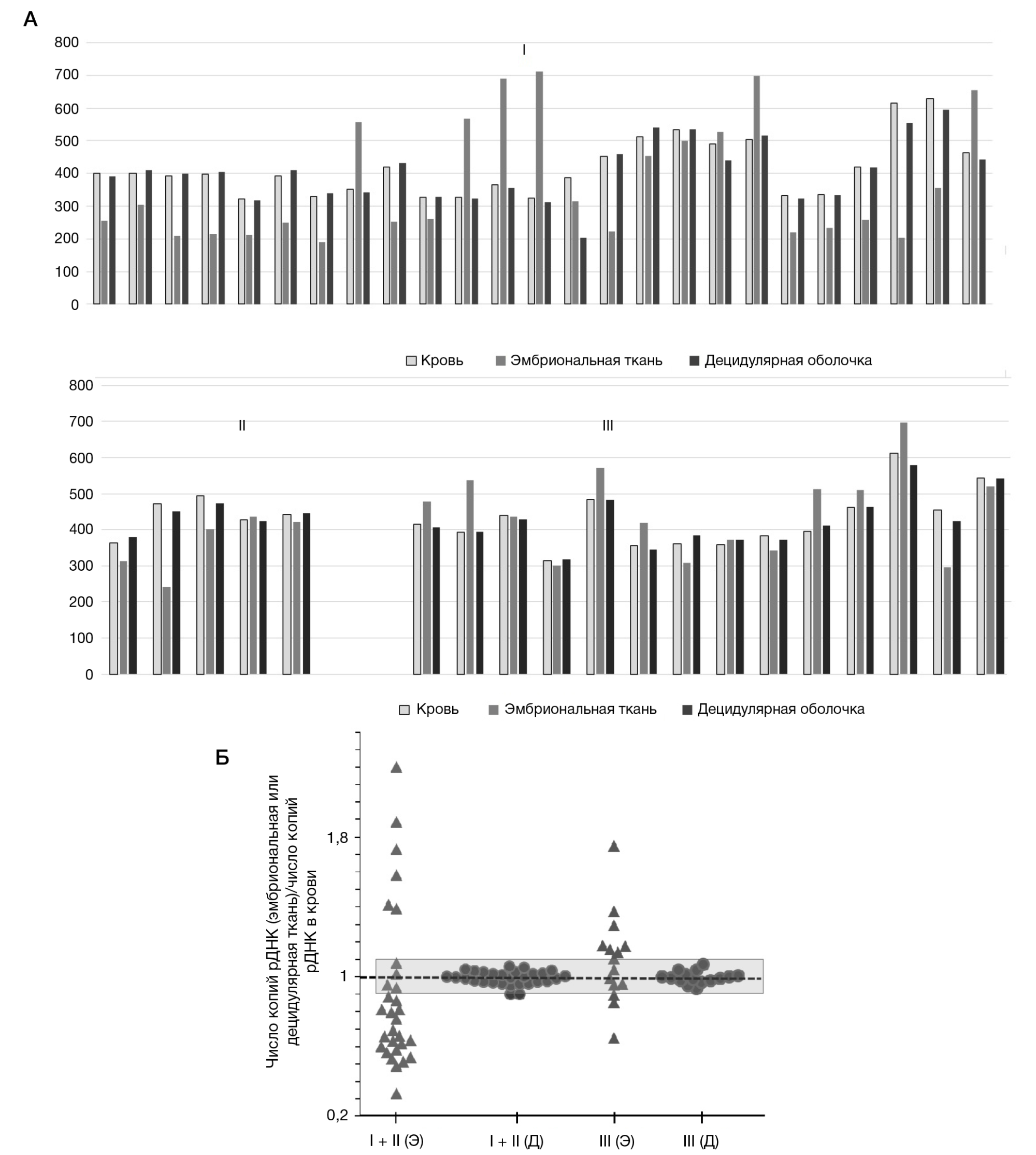
Рис. Число копий рДНК в ДНК, выделенной из трех типов клеток в группах I–III. А. Приводится среднее значение числа копий в образце ДНК (n = 3) и ошибка измерения. Б. Изменения в числе копий рДНК в эмбриональной (Э) и децидуальной (Д) тканях по отношению к содержанию рДНК в лейкоцитах крови
Таблица 1. Специфические для беременности гликопротеины (PSG), выявленные в ворсинах хориона человека c помощью панорамной масс-спектрометрии (LC-MS/MS)
Примечание: NSAF — нормированный спектральный количественный фактор, отражающий содержание белка.
Таблица 2. Описательная статистика для параметра R
Примечание: данные представлены в виде значений медиан (min–max); описательная статистика для количественных переменных представлена в формате среднего арифметического и стандартного отклонения — M (SD); образец К — кровь из кубитальной вены пациентки; образец Э — ткань эмбриона; образец Д — ткань децидуальной оболочки.